Официальное опубликование правовых актов
ОФИЦИАЛЬНОЕ ОПУБЛИКОВАНИЕ
Постановление Правительства Республики Калмыкия от 03.12.2015 № 449
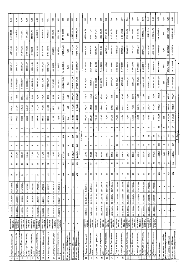
"О внесении изменений в республиканскую адресную программу "Переселение граждан, проживающих на территории Республики Калмыкия, из аварийного жилищного фонда в 2013-2017 гг.", утвержденную постановлением Правительства Республики Калмыкия от 30 апреля 2013 г. № 212"
Номер опубликования: 0800201512070001
Дата опубликования: 07.12.2015
Страница №4 из 6:
Увеличить