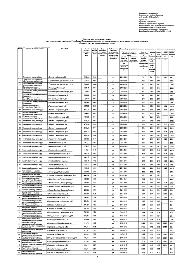
Постановление Правительства Республики Калмыкия от 30.09.2015 № 365
"О внесении изменений в региональную программу "Капитальный ремонт общего имущества в многоквартирных домах, расположенных на территории Республики Калмыкия, на 2014 — 2043 годы", утвержденную постановлением Правительства Республики Калмыкия от 30 декабря 2013 г. № 605"
"О внесении изменений в региональную программу "Капитальный ремонт общего имущества в многоквартирных домах, расположенных на территории Республики Калмыкия, на 2014 — 2043 годы", утвержденную постановлением Правительства Республики Калмыкия от 30 декабря 2013 г. № 605"
Номер опубликования: 0800201510060001
Дата опубликования:
06.10.2015
