Официальное опубликование правовых актов
ОФИЦИАЛЬНОЕ ОПУБЛИКОВАНИЕ
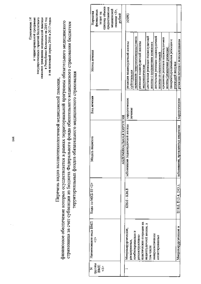
Постановление Правительства Республики Калмыкия от 10.12.2014 № 450
"Об утверждении территориальной программы государственных гарантий бесплатного оказания гражданам медицинской помощи в Республике Калмыкия на 2015 год и на плановый период 2016 и 2017 годов"
Номер опубликования: 0800201412180001
Дата опубликования: 18.12.2014
Страница №144 из 195:
Увеличить