Официальное опубликование правовых актов
ОФИЦИАЛЬНОЕ ОПУБЛИКОВАНИЕ
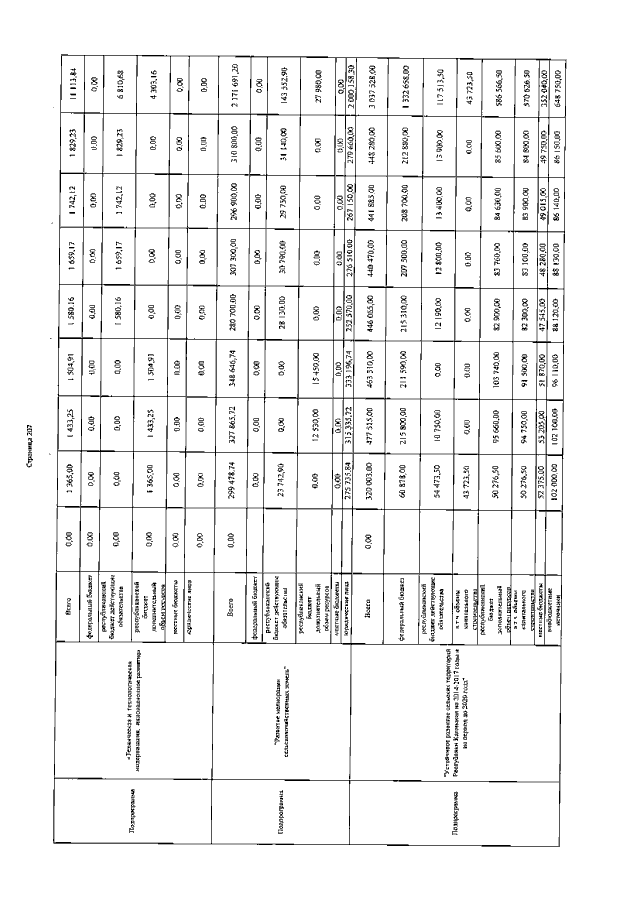
Постановление Правительства Республики Калмыкия от 01.12.2014 № 436
"О внесении изменения в Государственную программу развития сельского хозяйства и регулирования рынков сельскохозяйственной продукции, сырья и продовольствия Республики Калмыкия на 2013-2020 годы, утвержденную постановлением Правительства Республики Калмыкия от 29 ноября 2012 г. № 457"
Номер опубликования: 0800201412090002
Дата опубликования: 09.12.2014
Страница №207 из 215:
Увеличить