Официальное опубликование правовых актов
ОФИЦИАЛЬНОЕ ОПУБЛИКОВАНИЕ
Приказ Управления по государственной охране объектов культурного наследия Кабардино-Балкарской Республики от 11.05.2020 № 59-ОД/2020
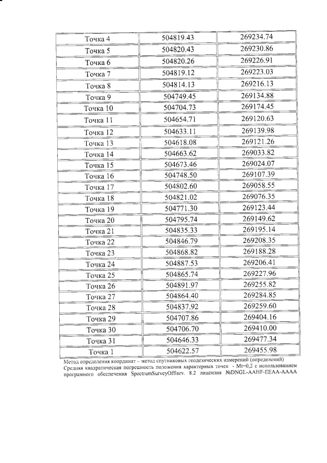
"Об установлении границ объединенной зоны охраны объекта культурного наследия федерального значения "Памятник Б.Э. Калмыкову" и объектов культурного наследия регионального значения "Здание Кабардинского театра им. А. Шогенцукова", "Памятник кабардинскому поэту Али Шогенцукову", "Памятник воинам, павшим в Великую Отечественную войну", "Памятник жертвам белогвардейского террора", "Памятник и могила жертвам кулацкого террора в 1930 г."‚ особых режимов использования земель и требований к градостроительным регламентам в границах территорий данных зон"
Номер опубликования: 0701202005130002
Дата опубликования: 13.05.2020
Страница №13 из 23:
Увеличить