Официальное опубликование правовых актов
ОФИЦИАЛЬНОЕ ОПУБЛИКОВАНИЕ
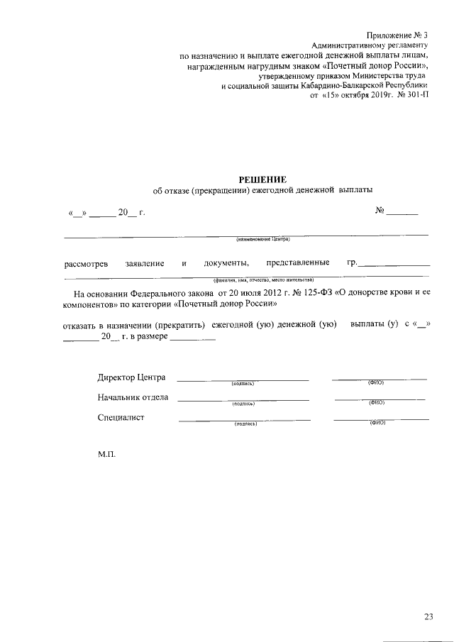
Приказ Министерства труда и социальной защиты Кабардино-Балкарской Республики от 15.10.2019 № 301-П
"Об утверждении административных регламентов Министерства труда и социальной защиты Кабардино-Балкарской Республики"
Номер опубликования: 0701201910180002
Дата опубликования: 18.10.2019
Страница №26 из 56:
Увеличить