Официальное опубликование правовых актов
ОФИЦИАЛЬНОЕ ОПУБЛИКОВАНИЕ
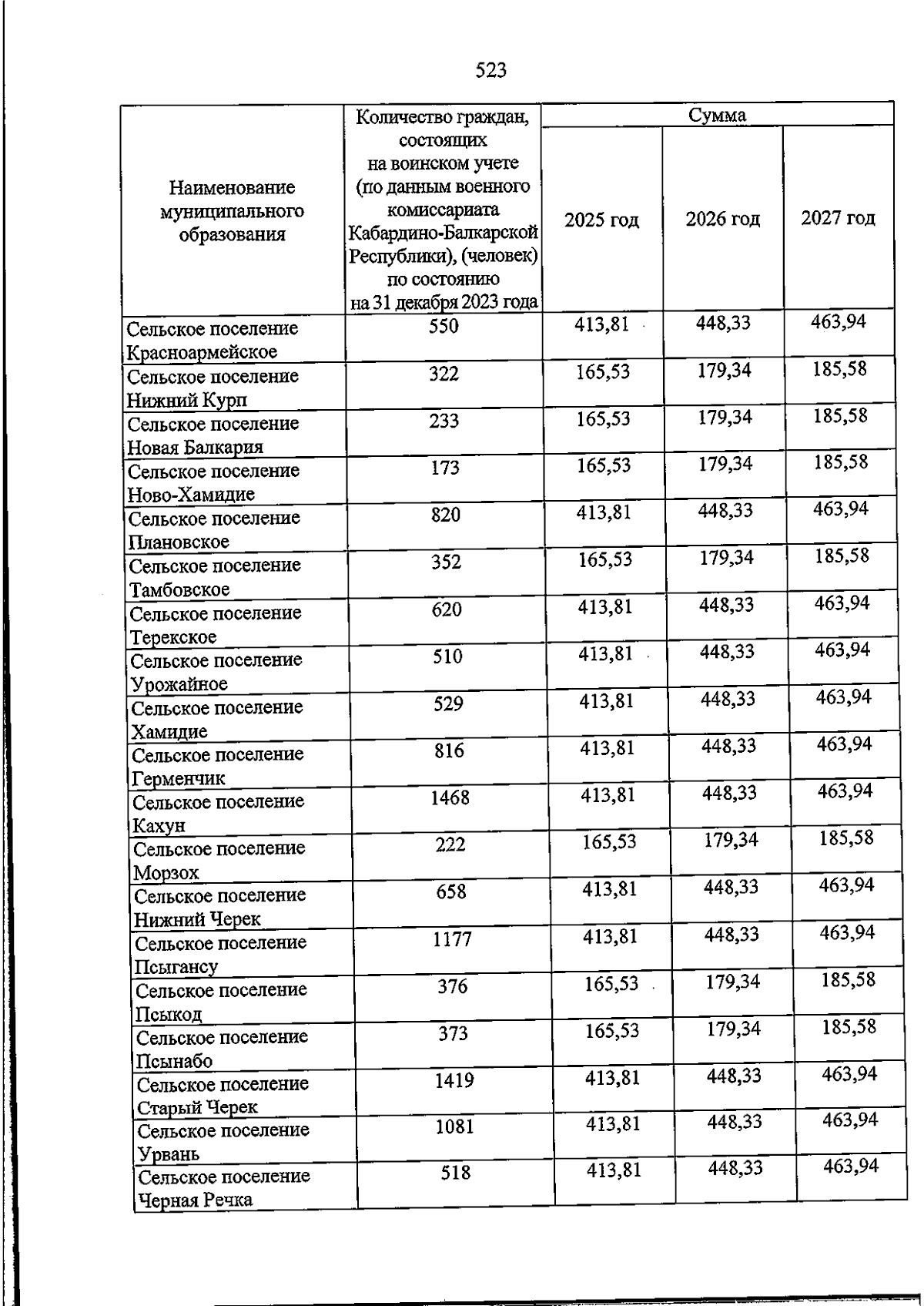
Закон Кабардино-Балкарской Республики от 29.12.2025 № 58-РЗ
"О внесении изменений в Закон Кабардино-Балкарской Республики "О республиканском бюджете Кабардино-Балкарской Республики на 2025 год и на плановый период 2026 и 2027 годов"
Номер опубликования: 0700202601030001
Дата опубликования: 03.01.2026
Страница №523 из 550:
Увеличить