Официальное опубликование правовых актов
ОФИЦИАЛЬНОЕ ОПУБЛИКОВАНИЕ
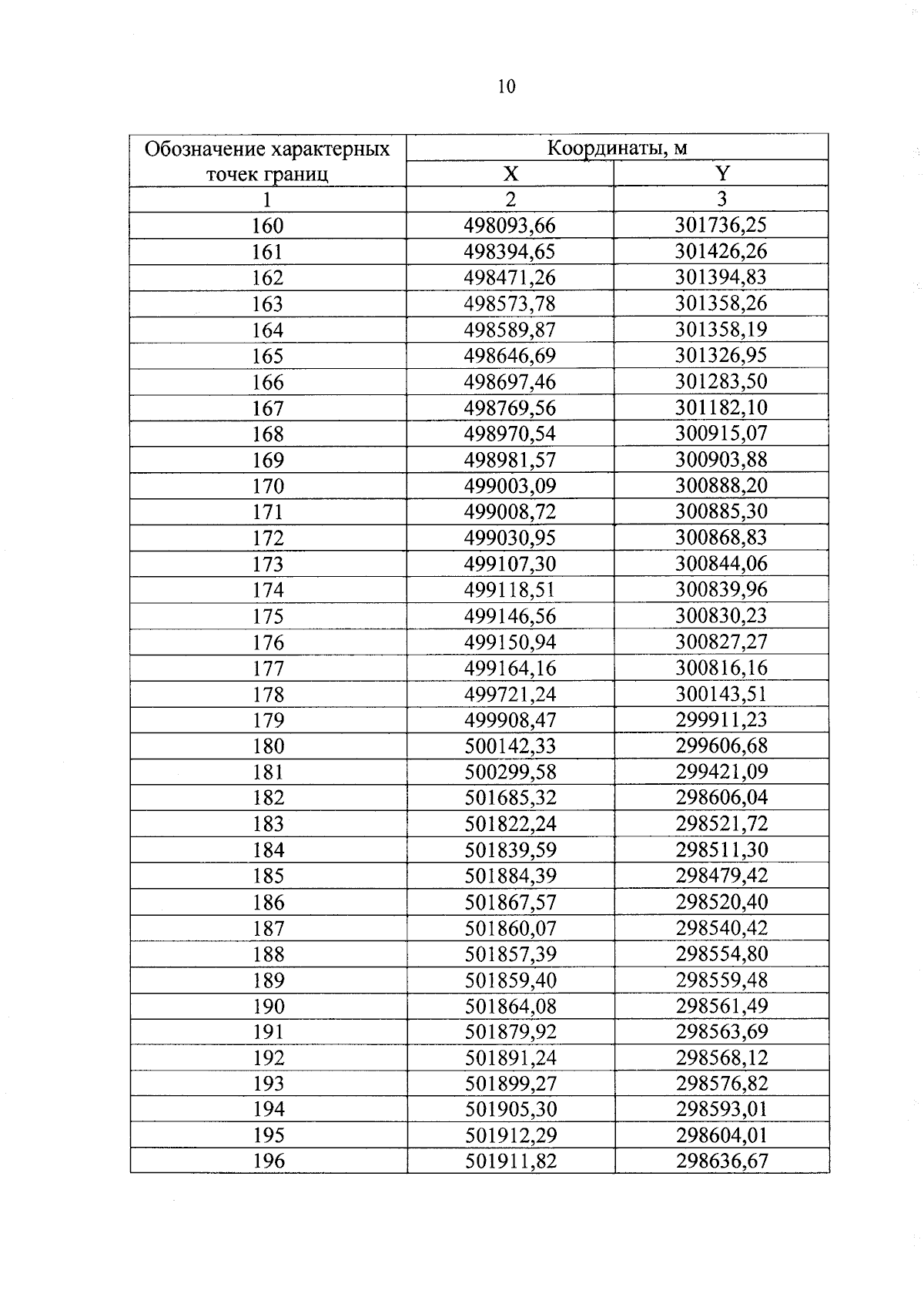
Постановление Правительства Кабардино-Балкарской Республики от 06.05.2025 № 65-ПП
"О внесении изменений в Положение о государственном природном заказнике Кабардино-Балкарской Республики "Озрекский"
Номер опубликования: 0700202505120003
Дата опубликования: 12.05.2025
Страница №11 из 15:
Увеличить