Официальное опубликование правовых актов
ОФИЦИАЛЬНОЕ ОПУБЛИКОВАНИЕ
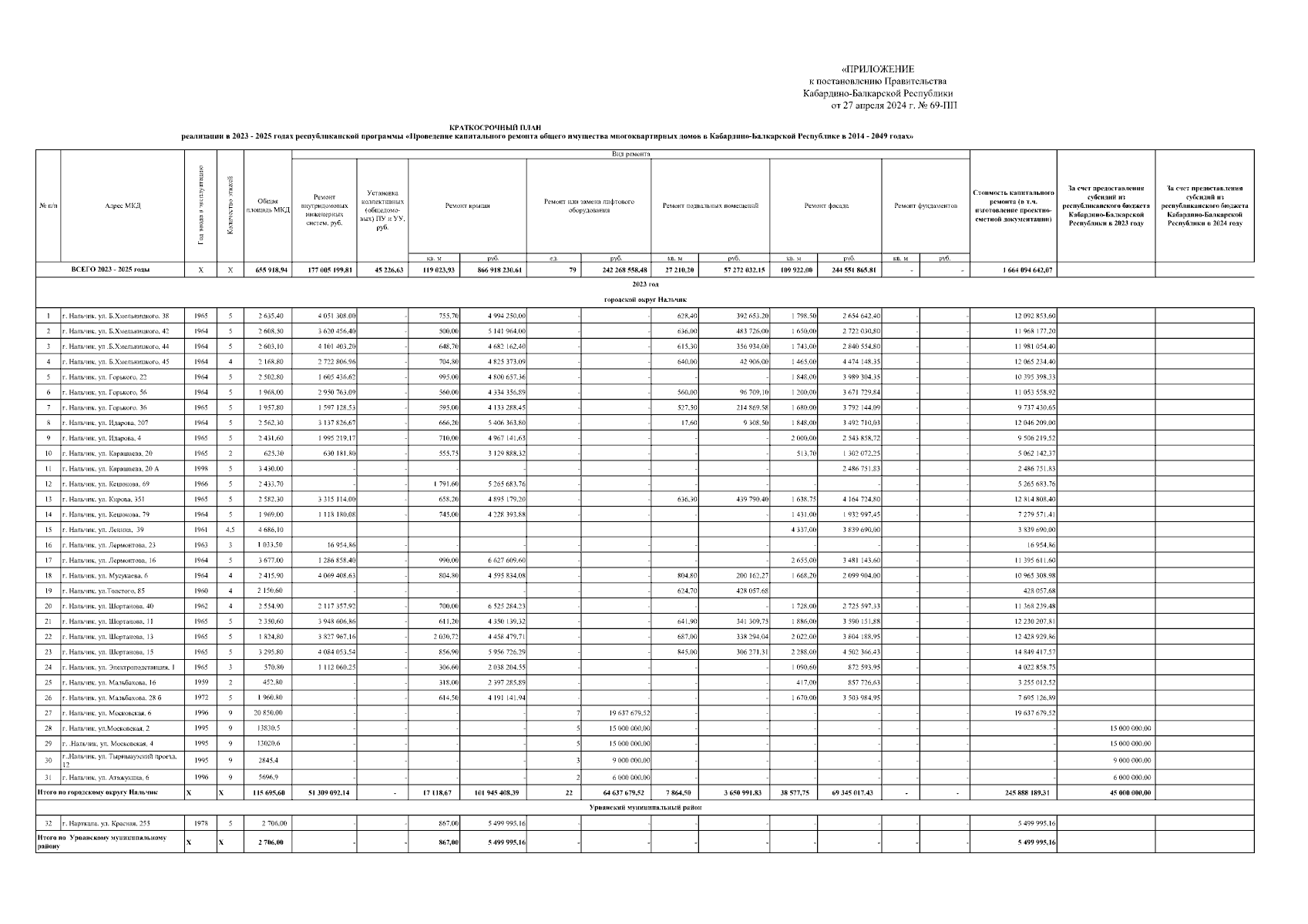
Постановление Правительства Кабардино-Балкарской Республики от 27.04.2024 № 69-ПП
"О внесении изменений в постановление Правительства Кабардино-Балкарской Республики от 30 декабря 2022 г. № 298 - ПП"
Номер опубликования: 0700202405020002
Дата опубликования: 02.05.2024
Страница №3 из 8:
Увеличить