Официальное опубликование правовых актов
ОФИЦИАЛЬНОЕ ОПУБЛИКОВАНИЕ
Постановление Правительства Кабардино-Балкарской Республики от 22.02.2024 № 29-ПП
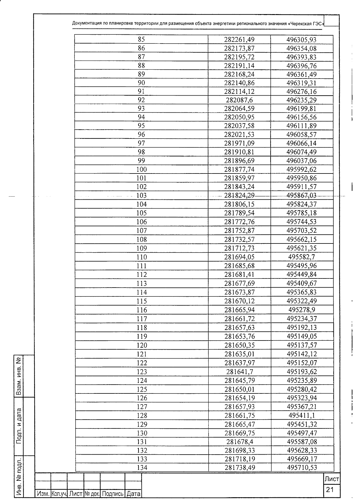
"Об утверждении проекта планировки территории и проекта межевания территории для размещения объекта энергетики регионального значения "Черекская ГЭС"
Номер опубликования: 0700202402220001
Дата опубликования: 22.02.2024
Страница №90 из 102:
Увеличить