Официальное опубликование правовых актов
ОФИЦИАЛЬНОЕ ОПУБЛИКОВАНИЕ
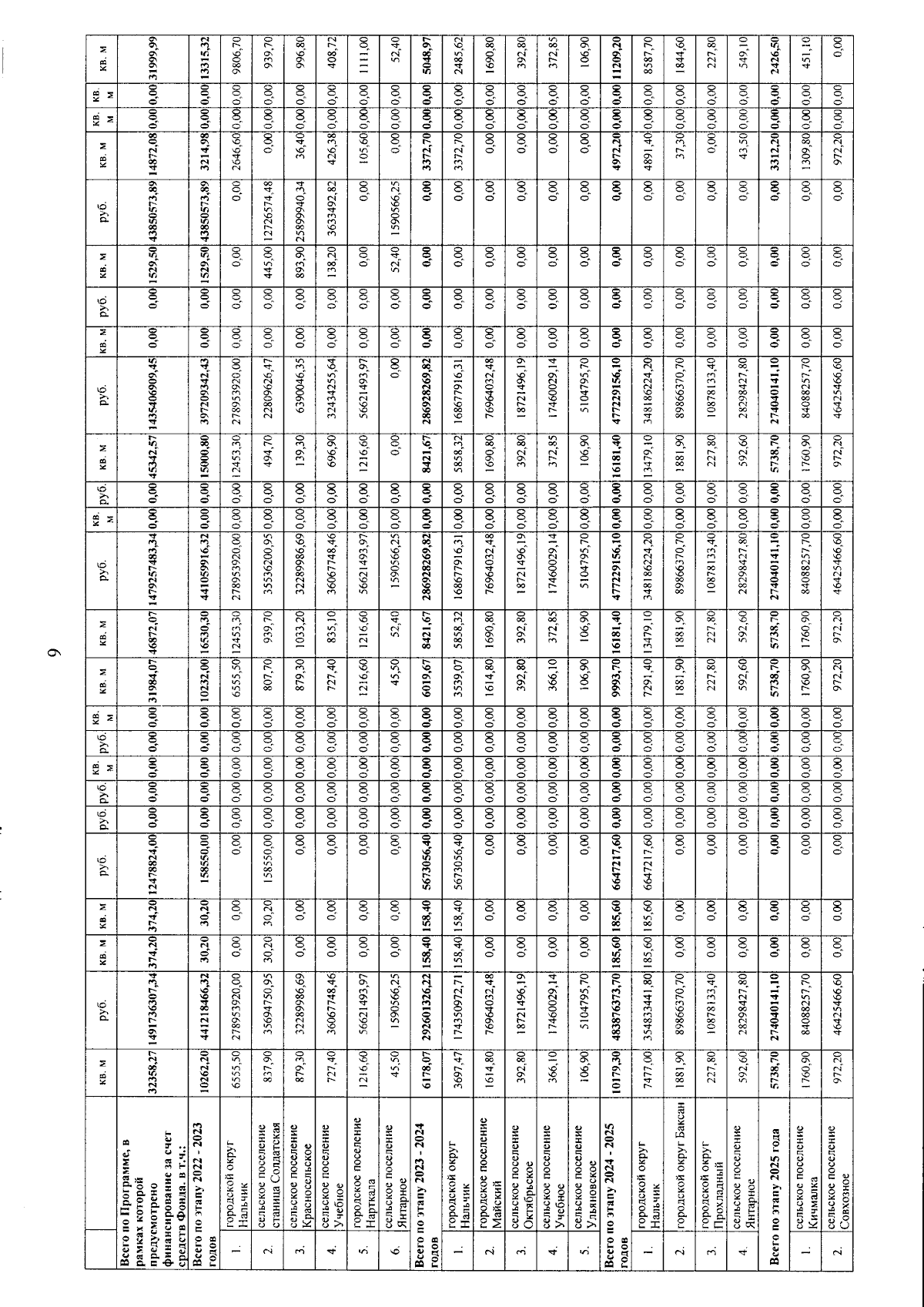
Постановление Правительства Кабардино-Балкарской Республики от 25.12.2023 № 285-ПП
"О внесении изменений в республиканскую адресную программу "Переселение граждан из аварийного жилищного фонда на территории Кабардино-Балкарской Республики в 2022 — 2025 годах"
Номер опубликования: 0700202312300008
Дата опубликования: 30.12.2023
Страница №10 из 14:
Увеличить