Официальное опубликование правовых актов
ОФИЦИАЛЬНОЕ ОПУБЛИКОВАНИЕ
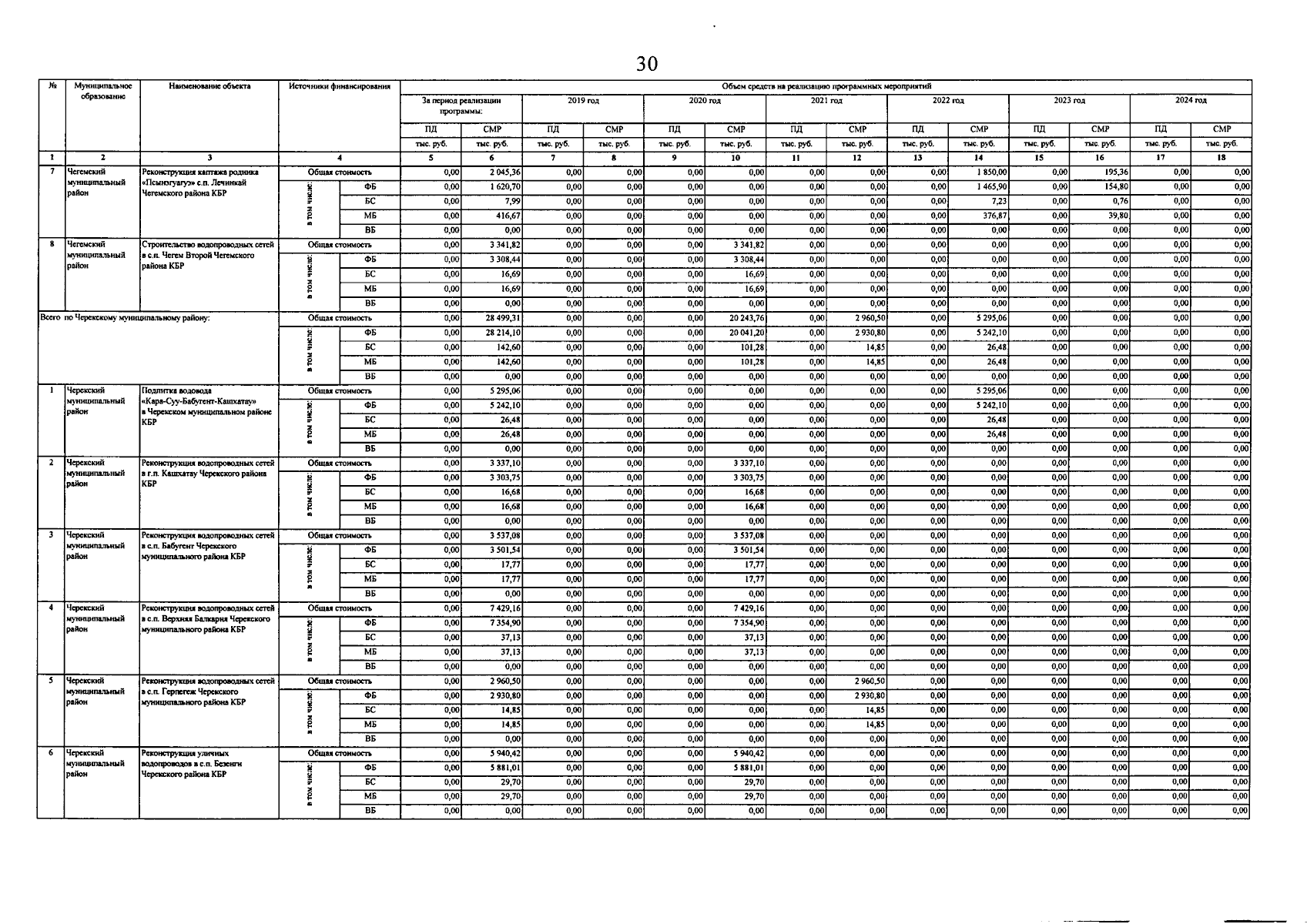
Постановление Правительства Кабардино-Балкарской Республики от 30.10.2023 № 225-пп
"О внесении изменений в региональную программу Кабардино-Балкарской Республики "Чистая вода"
Номер опубликования: 0700202311080009
Дата опубликования: 08.11.2023
Страница №31 из 69:
Увеличить