Официальное опубликование правовых актов
ОФИЦИАЛЬНОЕ ОПУБЛИКОВАНИЕ
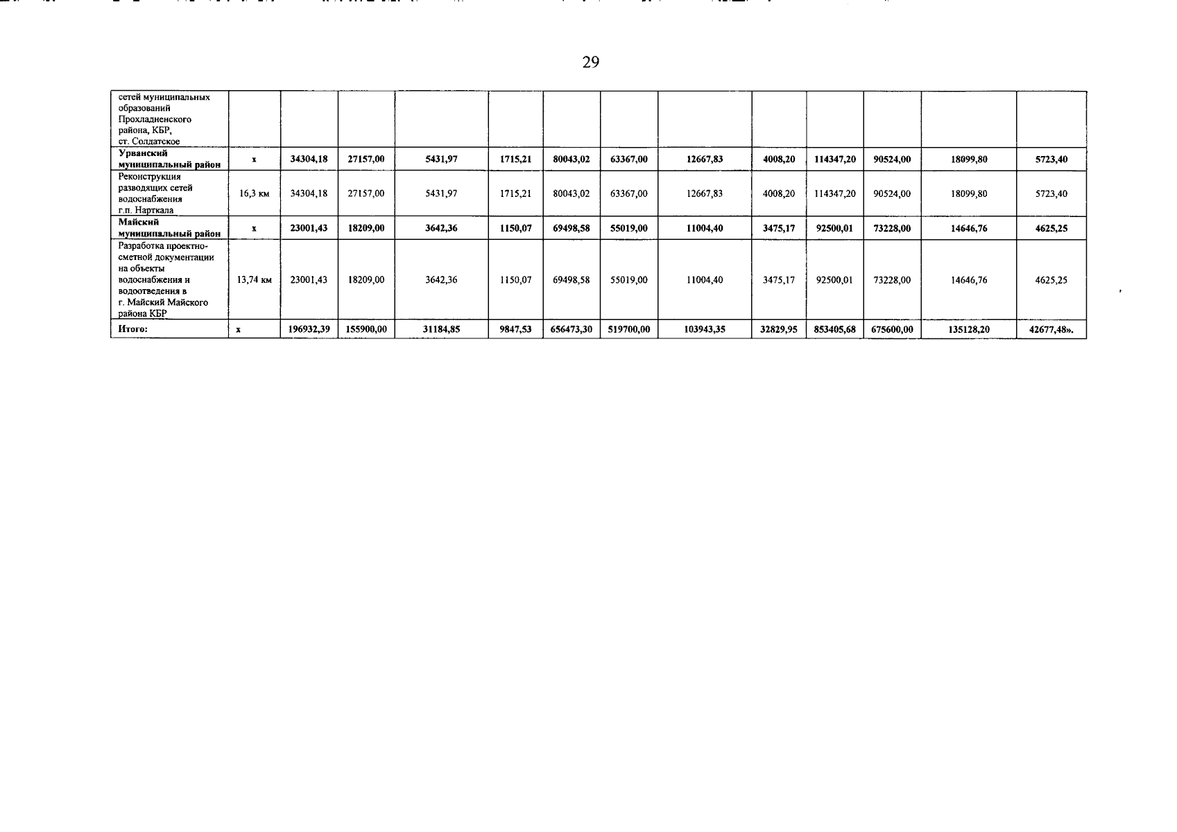
Постановление Правительства Кабардино-Балкарской Республики от 26.10.2023 № 224-ПП
"О внесении изменений в государственную программу Кабардино-Балкарской Республики "Обеспечение жильем и коммунальными услугами населения Кабардино-Балкарской Республики"
Номер опубликования: 0700202310300002
Дата опубликования: 30.10.2023
Страница №30 из 38:
Увеличить