Официальное опубликование правовых актов
ОФИЦИАЛЬНОЕ ОПУБЛИКОВАНИЕ
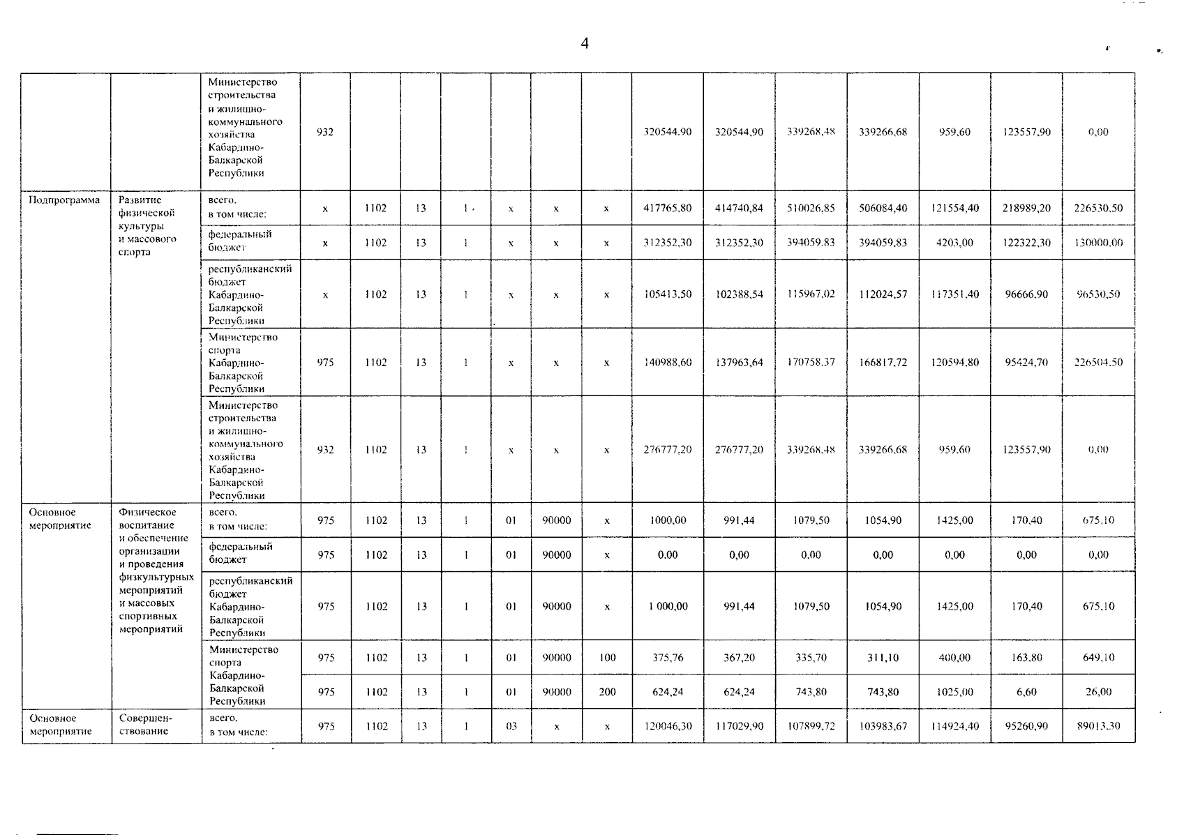
Постановление Правительства Кабардино-Балкарской Республики от 23.10.2023 № 221-ПП
"О внесении изменений в государственную программу Кабардино-Балкарской Республики "Развитие физической культуры и спорта в Кабардино-Балкарской Республике"
Номер опубликования: 0700202310270001
Дата опубликования: 27.10.2023
Страница №5 из 12:
Увеличить