Официальное опубликование правовых актов
ОФИЦИАЛЬНОЕ ОПУБЛИКОВАНИЕ
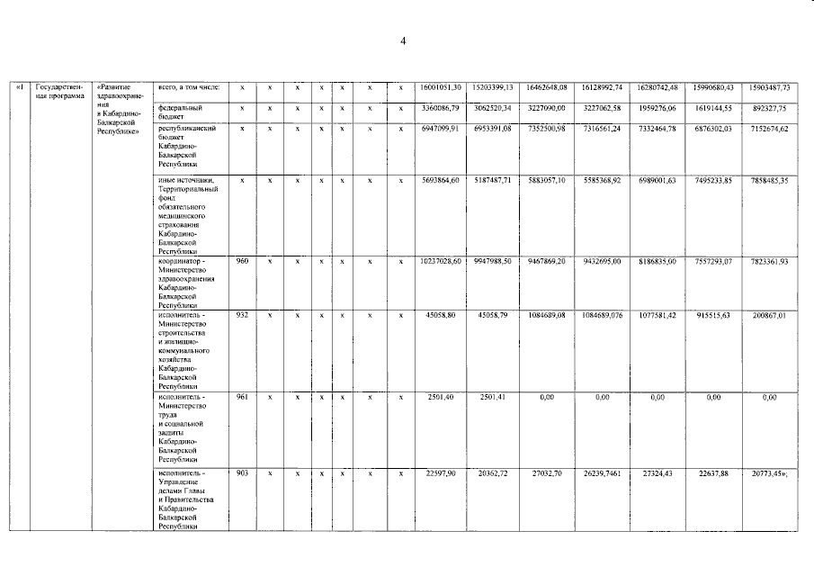
Постановление Правительства Кабардино-Балкарской Республики от 30.06.2023 № 129-ПП
"О внесении изменений в государственную программу Кабардино-Балкарской Республики "Развитие здравоохранения в Кабардино-Балкарской Республике"
Номер опубликования: 0700202307070005
Дата опубликования: 07.07.2023
Страница №5 из 23:
Увеличить