Официальное опубликование правовых актов
ОФИЦИАЛЬНОЕ ОПУБЛИКОВАНИЕ
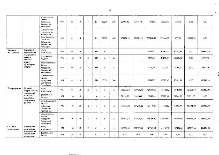
Постановление Правительства Кабардино-Балкарской Республики от 22.05.2023 № 92-ПП
"О внесении изменений в приложения № 4 и 5 к государственной программе Кабардино-Балкарской Республики "Развитие физической культуры и спорта в Кабардино-Балкарской Республике"
Номер опубликования: 0700202305290006
Дата опубликования: 29.05.2023
Страница №5 из 11:
Увеличить