Официальное опубликование правовых актов
ОФИЦИАЛЬНОЕ ОПУБЛИКОВАНИЕ
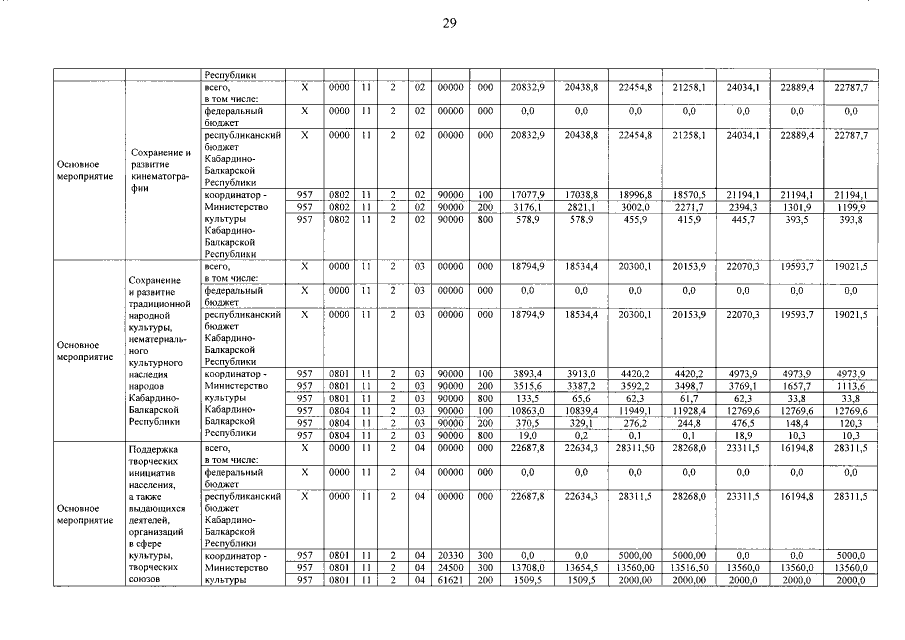
Постановление Правительства Кабардино-Балкарской Республики от 17.04.2023 № 73-ПП
"О внесении изменений в государственные программы Кабардино-Балкарской Республики "Экономическое развитие и инновационная экономика" и "Культура Кабардино-Балкарии"
Номер опубликования: 0700202304210002
Дата опубликования: 21.04.2023
Страница №30 из 37:
Увеличить