Официальное опубликование правовых актов
ОФИЦИАЛЬНОЕ ОПУБЛИКОВАНИЕ
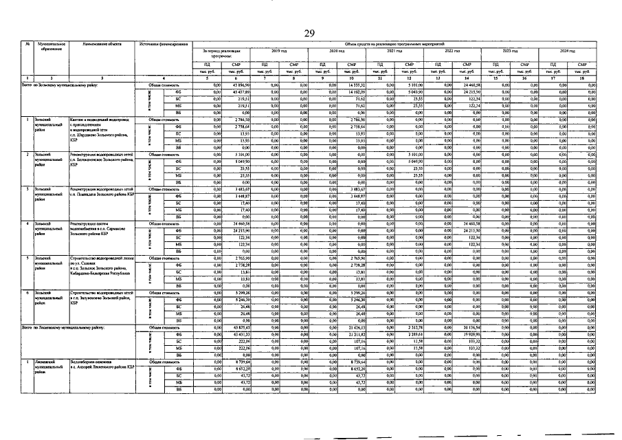
Постановление Правительства Кабардино-Балкарской Республики от 26.12.2022 № 285-ПП
"О внесении изменений в региональную программу Кабардино-Балкарской Республики "Чистая вода"
Номер опубликования: 0700202212280001
Дата опубликования: 28.12.2022
Страница №30 из 81:
Увеличить