Официальное опубликование правовых актов
ОФИЦИАЛЬНОЕ ОПУБЛИКОВАНИЕ
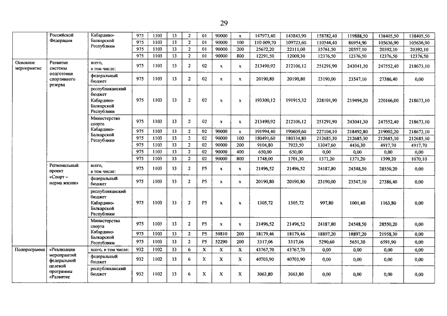
Постановление Правительства Кабардино-Балкарской Республики от 05.03.2022 № 43-ПП
"О внесении изменений в государственную программу Кабардино-Балкарской Республики "Развитие физической культуры и спорта в Кабардино-Балкарской Республике"
Номер опубликования: 0700202203070007
Дата опубликования: 07.03.2022
Страница №30 из 57:
Увеличить