Официальное опубликование правовых актов
ОФИЦИАЛЬНОЕ ОПУБЛИКОВАНИЕ
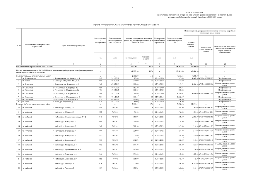
Постановление Правительства Кабардино-Балкарской Республики от 15.03.2021 № 44-ПП
"О внесении изменений в постановление Правительства Кабардино-Балкарской Республики от 10 апреля 2019 г. №58-ПП"
Номер опубликования: 0700202103240001
Дата опубликования: 24.03.2021
Страница №7 из 15:
Увеличить