Официальное опубликование правовых актов
ОФИЦИАЛЬНОЕ ОПУБЛИКОВАНИЕ
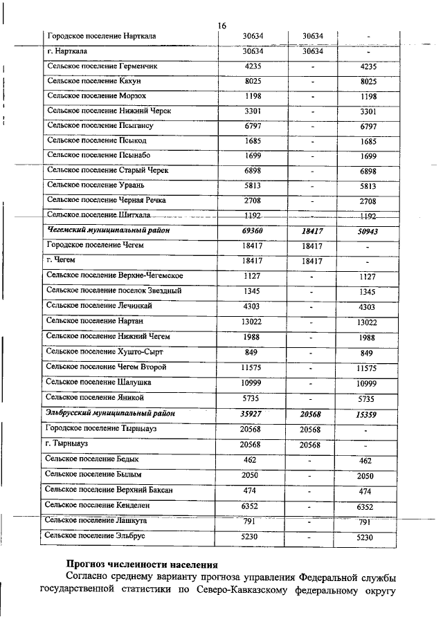
Постановление Правительства Кабардино-Балкарской Республики от 30.06.2020 № 138-ПП
"Об утверждении Территориальной схемы обращения с отходами в Кабардино-Балкарской Республике"
Номер опубликования: 0700202007070001
Дата опубликования: 07.07.2020
Страница №18 из 1290:
Увеличить