Официальное опубликование правовых актов
ОФИЦИАЛЬНОЕ ОПУБЛИКОВАНИЕ
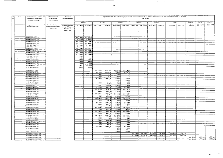
Постановление Правительства Кабардино-Балкарской Республики от 04.02.2019 № 15-ПП
"О внесении изменений в государственную программу Кабардино-Балкарской Республики "Социальная поддержка населения Кабардино-Балкарской Республики"
Номер опубликования: 0700201902110001
Дата опубликования: 11.02.2019
Страница №45 из 68:
Увеличить