Официальное опубликование правовых актов
ОФИЦИАЛЬНОЕ ОПУБЛИКОВАНИЕ
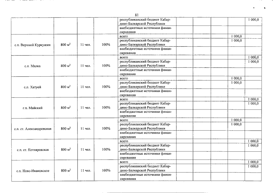
Постановление Правительства Кабардино-Балкарской Республики от 13.04.2018 № 67-ПП
"О внесении изменений в государственную программу Кабардино-Балкарской Республики "Развитие физической культуры и спорта в Кабардино-Балкарской Республике"
Номер опубликования: 0700201804190007
Дата опубликования: 19.04.2018
Страница №82 из 97:
Увеличить