Официальное опубликование правовых актов
ОФИЦИАЛЬНОЕ ОПУБЛИКОВАНИЕ
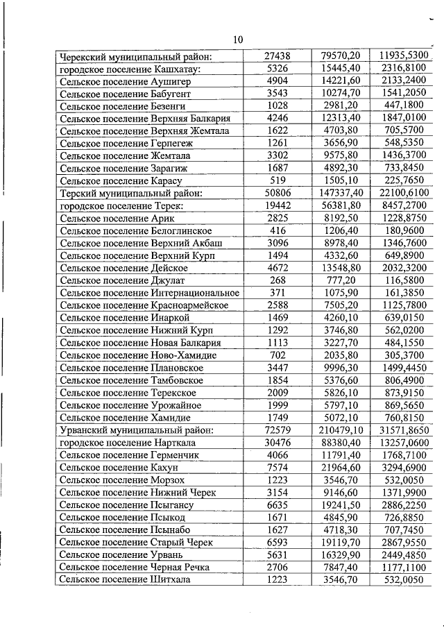
Постановление Правительства Кабардино-Балкарской Республики от 31.08.2017 № 155-ПП
"О региональной программе Кабардино-Балкарской Республики "Обращение с отходами производства и потребления, в том числе твердыми коммунальными отходами, в Кабардино-Балкарской Республике"
Номер опубликования: 0700201709060001
Дата опубликования: 06.09.2017
Страница №11 из 73:
Увеличить