Официальное опубликование правовых актов
ОФИЦИАЛЬНОЕ ОПУБЛИКОВАНИЕ
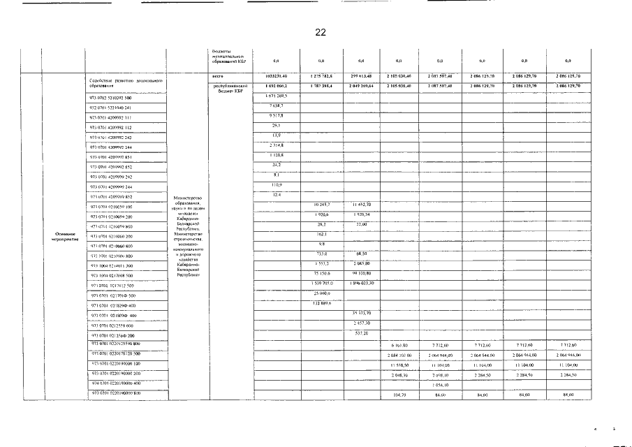
Постановление Правительства Кабардино-Балкарской Республики от 07.08.2017 № 145-ПП
"О внесении изменений в государственную программу Кабардино-Балкарской Республики "Развитие образования в Кабардино-Балкарской Республике"
Номер опубликования: 0700201708100005
Дата опубликования: 10.08.2017
Страница №23 из 33:
Увеличить