Официальное опубликование правовых актов
ОФИЦИАЛЬНОЕ ОПУБЛИКОВАНИЕ
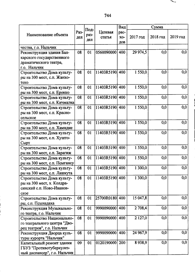
Закон Кабардино-Балкарской Республики от 28.02.2017 № 4-РЗ
"О внесении изменений в Закон Кабардино-Балкарской Республики "О республиканском бюджете Кабардино-Балкарской Республики на 2017 год и плановый период 2018 и 2019 годов"
Номер опубликования: 0700201703100001
Дата опубликования: 10.03.2017
Страница №744 из 754:
Увеличить