Официальное опубликование правовых актов
ОФИЦИАЛЬНОЕ ОПУБЛИКОВАНИЕ
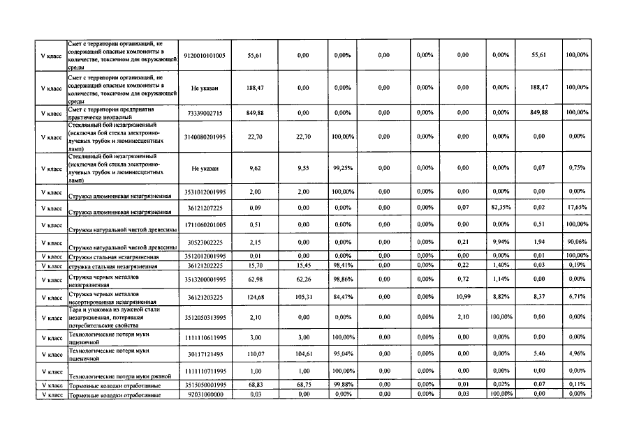
Постановление Правительства Кабардино-Балкарской Республики от 27.10.2016 № 196-ПП
"Об утверждении Территориальной схемы обращения с отходами, в том числе с твердыми коммунальными отходами, в Кабардино-Балкарской Республике"
Номер опубликования: 0700201611020007
Дата опубликования: 02.11.2016
Страница №195 из 223:
Увеличить