Официальное опубликование правовых актов
ОФИЦИАЛЬНОЕ ОПУБЛИКОВАНИЕ
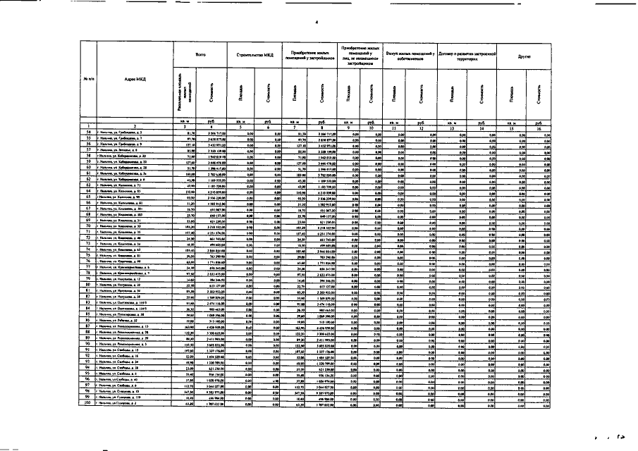
Постановление Правительства Кабардино-Балкарской Республики от 08.04.2016 № 61-ПП
"О внесении изменений в Республиканскую адресную программу "Переселение граждан из аварийного жилищного фонда в Кабардино-Балкарской Республике в 2013-2017 годах"
Номер опубликования: 0700201604130005
Дата опубликования: 13.04.2016
Страница №17 из 22:
Увеличить