Официальное опубликование правовых актов
ОФИЦИАЛЬНОЕ ОПУБЛИКОВАНИЕ
Указ Главы Кабардино-Балкарской Республики от 30.03.2015 № 44-УГ
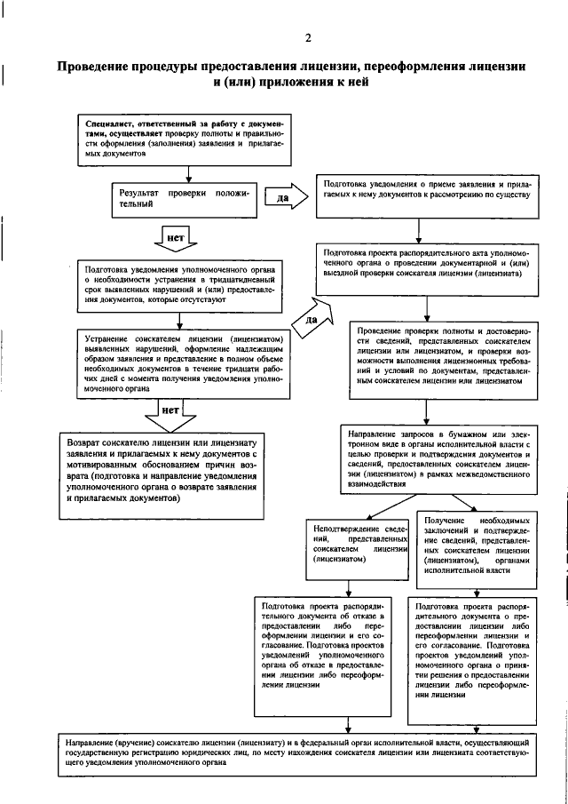
"Об утверждении Административного регламента Министерства образования, науки и по делам молодежи Кабардино-Балкарской Республики по предоставлению государственной услуги по лицензированию образовательной деятельности организаций"
Номер опубликования: 0700201504010002
Дата опубликования: 01.04.2015
Страница №42 из 44:
Увеличить