Официальное опубликование правовых актов
ОФИЦИАЛЬНОЕ ОПУБЛИКОВАНИЕ
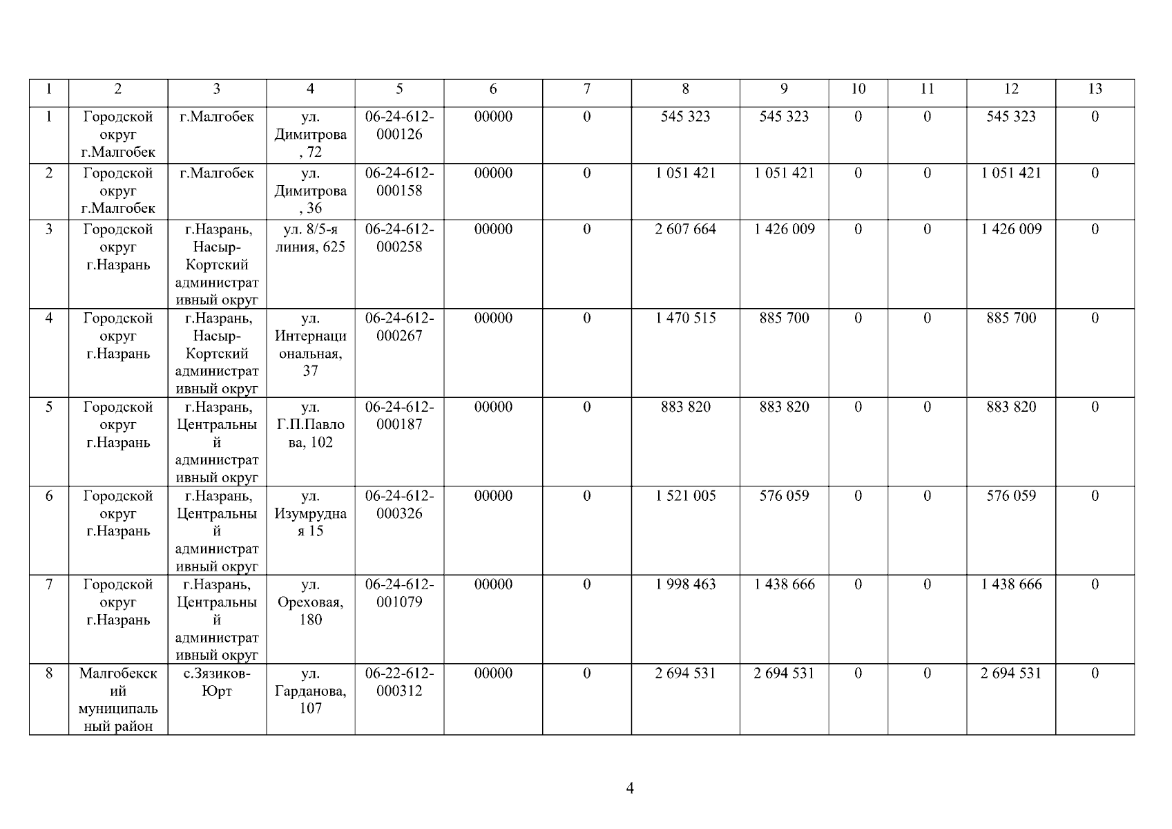
Приказ Государственной жилищной инспекции Республики Ингушетия от 29.09.2025 № 46-П
"Об утверждении размера экономически обоснованных расходов на выполнение мероприятий по подключению (технологическому присоединению) газоиспользующего оборудования заявителей за 2 квартал 2025 года"
(Зарегистрирован 29.09.2025 № 28-0007/290925)
Номер опубликования: 0601202510010001
Дата опубликования: 01.10.2025
Страница №4 из 5:
Увеличить