Официальное опубликование правовых актов
ОФИЦИАЛЬНОЕ ОПУБЛИКОВАНИЕ
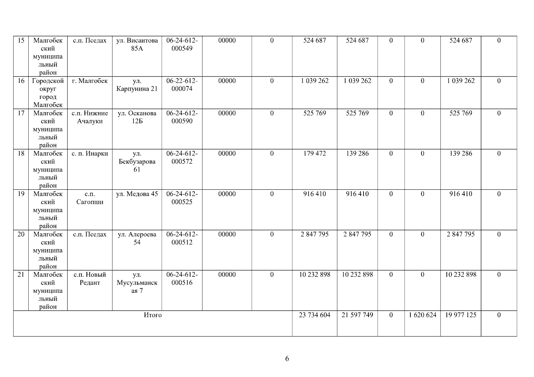
Приказ Государственной жилищной инспекции Республики Ингушетия от 03.03.2025 № 16-П "Об утверждении размера экономически обоснованных расходов на выполнение мероприятий по подключению (технологическому присоединению) газоиспользующего оборудования заявителей за 4 квартал 2024 года"
(Зарегистрирован 03.03.2025 № 28-0002/030325)
Номер опубликования: 0601202503120001
Дата опубликования: 12.03.2025
Страница №6 из 6:
Увеличить