Официальное опубликование правовых актов
ОФИЦИАЛЬНОЕ ОПУБЛИКОВАНИЕ
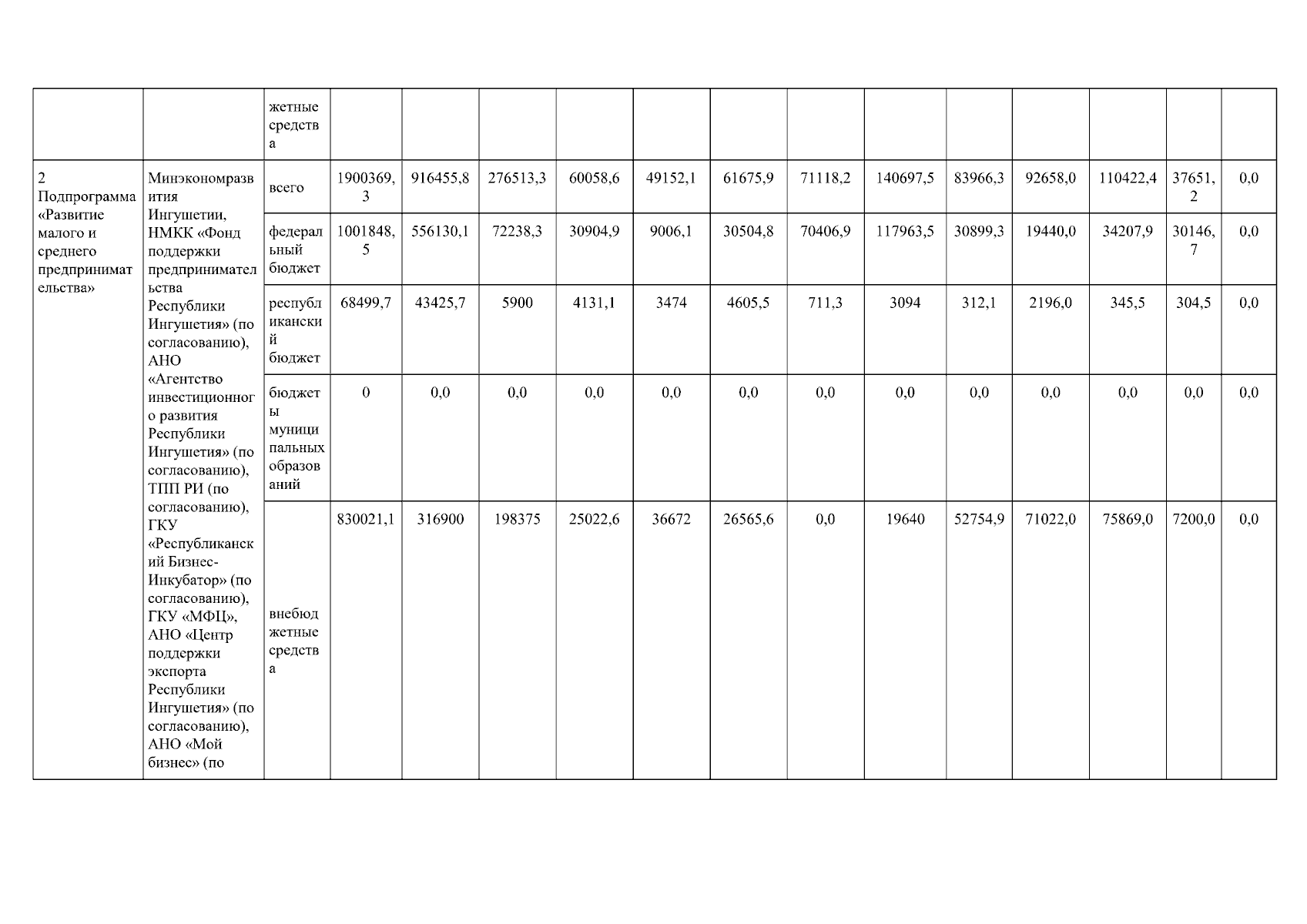
Постановление Правительства Республики Ингушетия от 04.12.2023 № 169
"О внесении изменений в государственную программу Республики Ингушетия "Экономическое развитие и инновационная экономика"
Номер опубликования: 0600202312080002
Дата опубликования: 08.12.2023
Страница №32 из 103:
Увеличить