Официальное опубликование правовых актов
ОФИЦИАЛЬНОЕ ОПУБЛИКОВАНИЕ
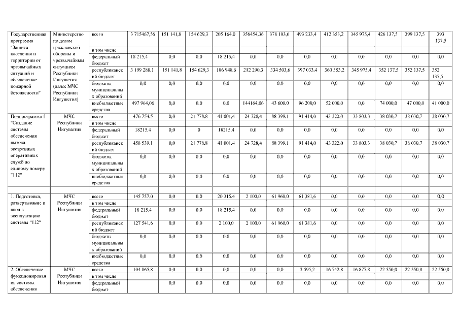
Постановление Правительства Республики Ингушетия от 16.03.2022 № 31
"О внесении изменений в постановление Правительства Республики Ингушетия от 21 февраля 2015 г. № 33"
Номер опубликования: 0600202203180001
Дата опубликования: 18.03.2022
Страница №12 из 31:
Увеличить