Официальное опубликование правовых актов
ОФИЦИАЛЬНОЕ ОПУБЛИКОВАНИЕ
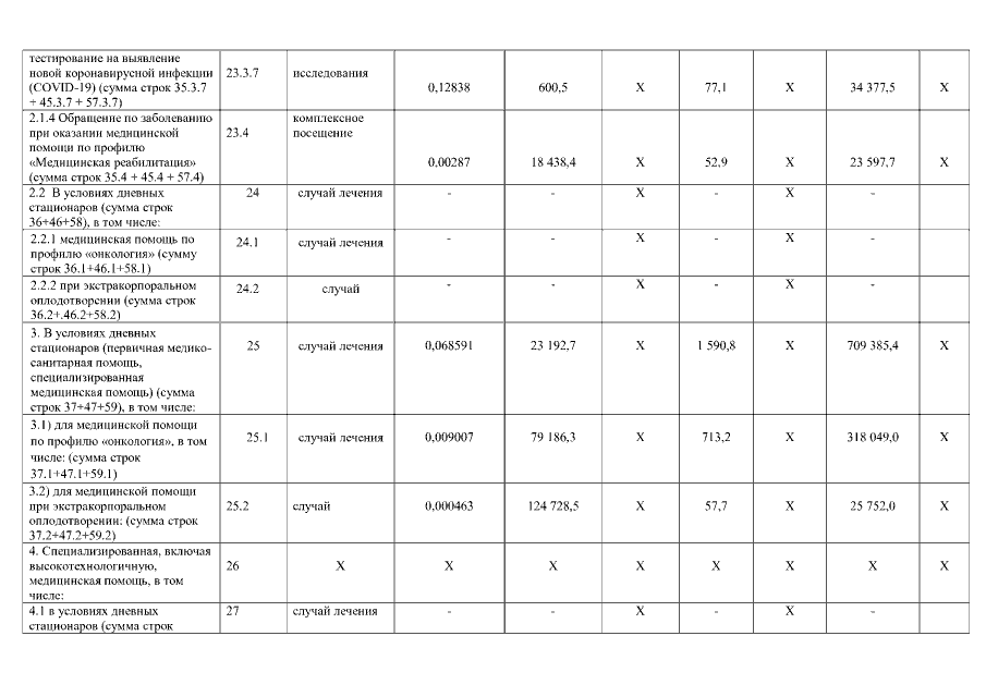
Постановление Правительства Республики Ингушетия от 03.03.2022 № 26
"Об утверждении Программы государственных гарантий бесплатного оказания гражданам медицинской помощи в Республике Ингушетия на 2022 год и на плановый период 2023 и 2024 годов"
Номер опубликования: 0600202203100003
Дата опубликования: 10.03.2022
Страница №108 из 1274:
Увеличить