Официальное опубликование правовых актов
ОФИЦИАЛЬНОЕ ОПУБЛИКОВАНИЕ
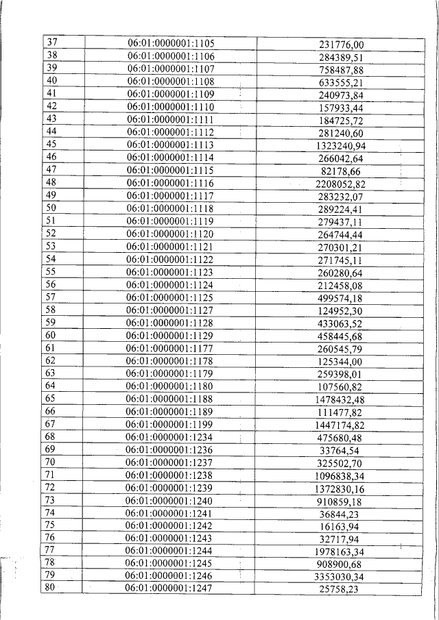
Постановление Правительства Республики Ингушетия от 16.12.2019 № 192
"Об утверждении результатов государственной кадастровой оценки земель водного фонда, лесного фонда, промышленности, энергетики, транспорта, связи, радиовещания, телевидения, информатики, земли для обеспечения космической деятельности, земли обороны, безопасности и земли иного специального назначения, расположенных на территории Республики Ингушетия"
Номер опубликования: 0600201912200003
Дата опубликования: 20.12.2019
Страница №7 из 23:
Увеличить