Официальное опубликование правовых актов
ОФИЦИАЛЬНОЕ ОПУБЛИКОВАНИЕ
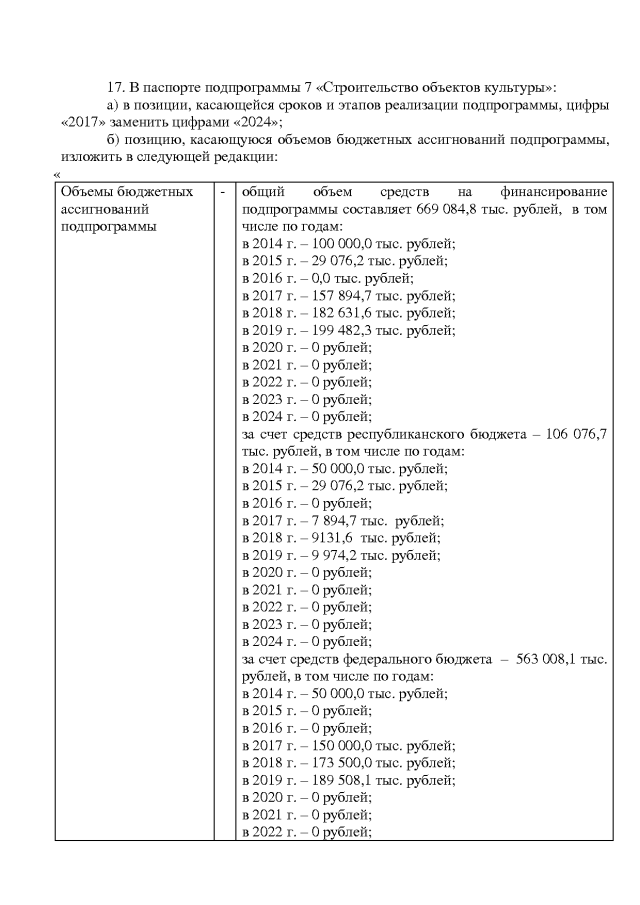
Постановление Правительства Республики Ингушетия от 22.05.2019 № 83
"О внесении изменений в государственную программу Республики Ингушетия "Развитие культуры и архивного дела"
Номер опубликования: 0600201905230002
Дата опубликования: 23.05.2019
Страница №47 из 48:
Увеличить