Официальное опубликование правовых актов
ОФИЦИАЛЬНОЕ ОПУБЛИКОВАНИЕ
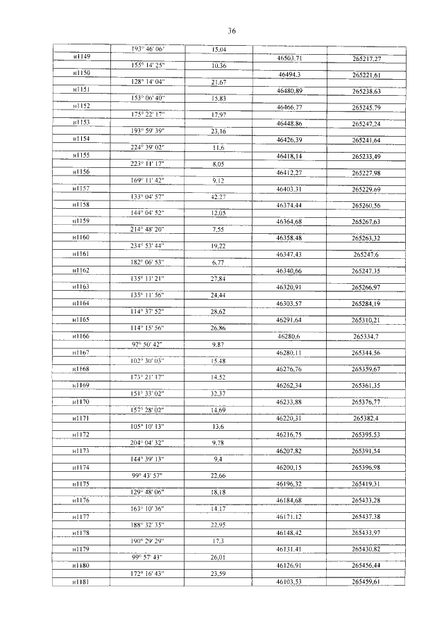
Закон Республики Ингушетия от 04.10.2018 № 42-рз
"Об утверждении Соглашения об установлении границы между Республикой Ингушетия и Чеченской Республикой"
Номер опубликования: 0600201810050001
Дата опубликования: 05.10.2018
Страница №85 из 96:
Увеличить