Официальное опубликование правовых актов
ОФИЦИАЛЬНОЕ ОПУБЛИКОВАНИЕ
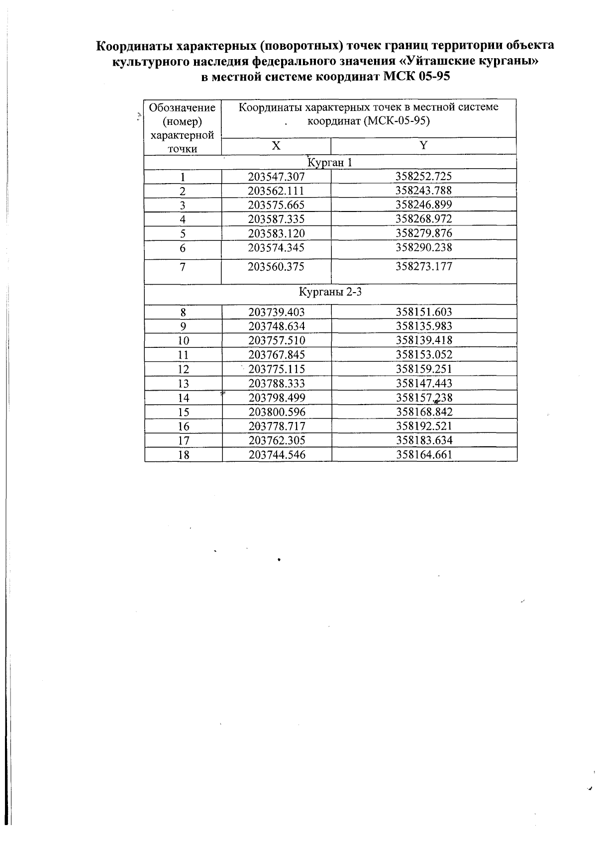
Приказ Агентства по охране культурного наследия Республики Дагестан от 25.04.2025 № 44/25-од
"Об утверждении границ территории объекта культурного наследия федерального значения "Уйташские курганы" (Республика Дагестан, Карабудахкентский район)"
(Зарегистрирован 13.05.2025 № 8095)
Номер опубликования: 0501202505150003
Дата опубликования: 15.05.2025
Страница №6 из 11:
Увеличить