Официальное опубликование правовых актов
ОФИЦИАЛЬНОЕ ОПУБЛИКОВАНИЕ
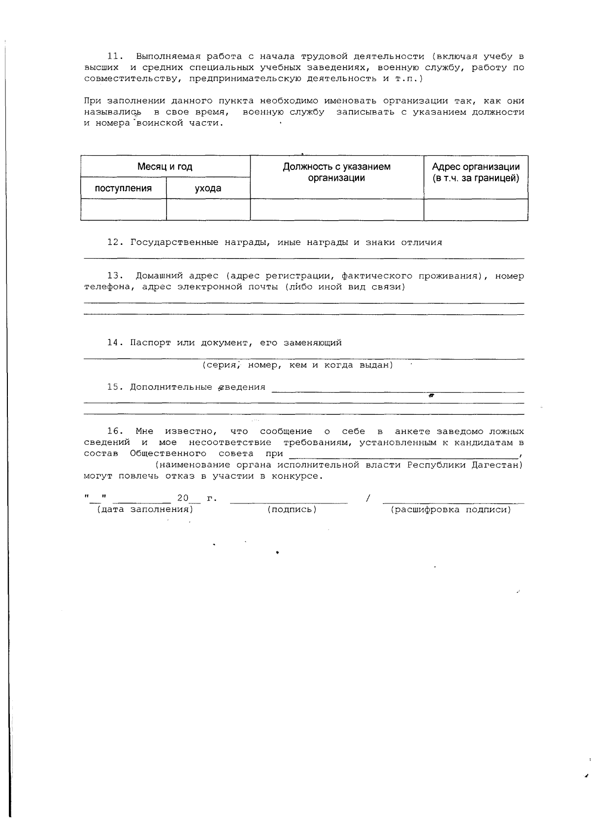
Приказ Комитета по ветеринарии Республики Дагестан от 28.01.2025 № 20-23/25
"Об утверждении Положения об Общественном совете при Комитете по ветеринарии Республики Дагестан"
(Зарегистрирован 04.02.2025 № 7968)
Номер опубликования: 0501202502060003
Дата опубликования: 06.02.2025
Страница №18 из 21:
Увеличить