Официальное опубликование правовых актов
ОФИЦИАЛЬНОЕ ОПУБЛИКОВАНИЕ
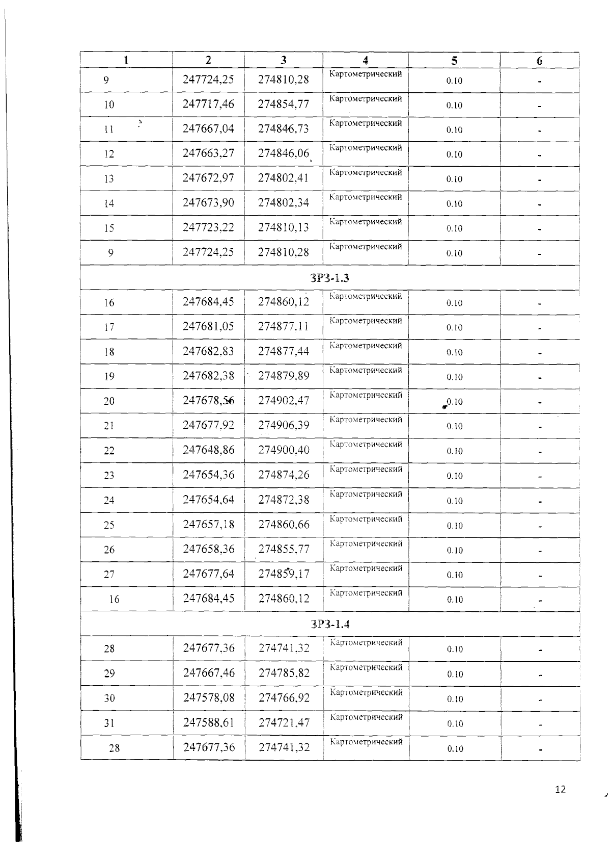
Приказ Агентства по охране культурного наследия Республики Дагестан от 13.08.2024 № 102/24-ОД
"Об утверждении границ зон охраны объекта культурного наследия регионального значения "Здание ГОВД (дом купца Селимгереева)", 1903 г. (Республика Дагестан, г. Хасавюрт, ул. Даибова, 4) и требований к градостроительным регламентам в границах данных зон"
(Зарегистрирован 04.09.2024 № 7222)
Номер опубликования: 0501202409090005
Дата опубликования: 09.09.2024
Страница №12 из 18:
Увеличить