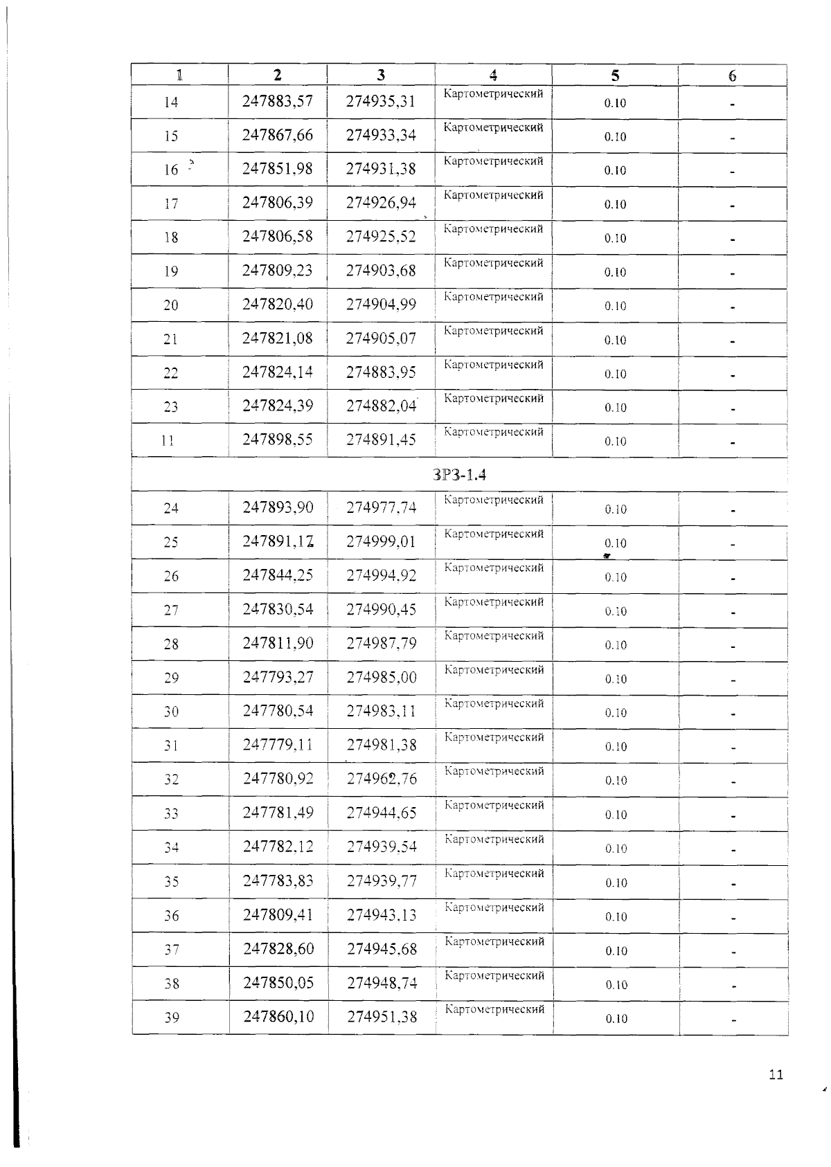
Приказ Агентства по охране культурного наследия Республики Дагестан от 13.08.2024 № 101/24-ОД
"Об утверждении границ зон охраны объекта культурного наследия регионального значения "Здание к/т "Спартак", 1900 г. (Республика Дагестан, г. Хасавюрт, ул. Тотурбиева, 65) (уточненный адрес: Республика Дагестан, г. Хасавюрт, ул. Победы, 12) и требований к градостроительным регламентам в границах данных зон"
(Зарегистрирован 04.09.2024 № 7221)
"Об утверждении границ зон охраны объекта культурного наследия регионального значения "Здание к/т "Спартак", 1900 г. (Республика Дагестан, г. Хасавюрт, ул. Тотурбиева, 65) (уточненный адрес: Республика Дагестан, г. Хасавюрт, ул. Победы, 12) и требований к градостроительным регламентам в границах данных зон"
(Зарегистрирован 04.09.2024 № 7221)
Номер опубликования: 0501202409090002
Дата опубликования:
09.09.2024
