Официальное опубликование правовых актов
ОФИЦИАЛЬНОЕ ОПУБЛИКОВАНИЕ
Приказ Агентства по охране культурного наследия Республики Дагестан от 18.06.2024 № 67/24-од
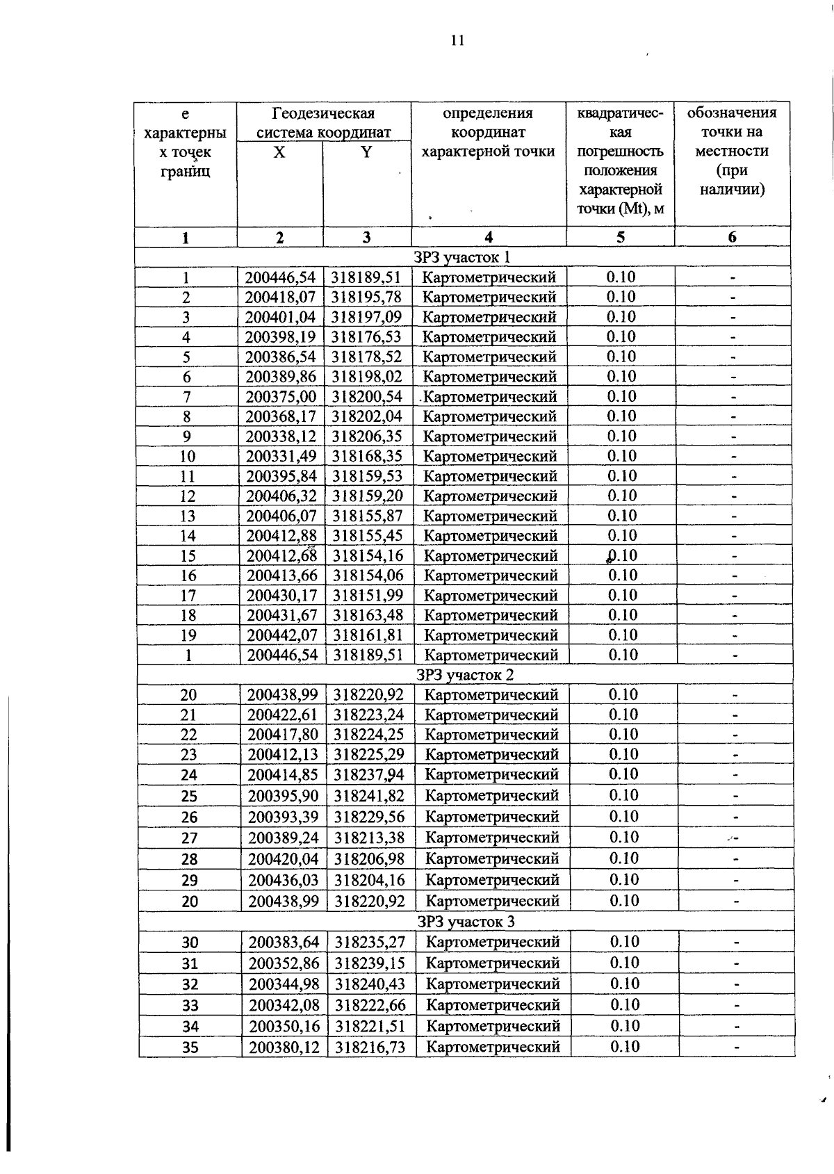
"Об утверждении границ зон охраны объекта культурного наследия регионального значения "Здание, в котором был арестован подпольный обком РКП(б)", расположенного по адресу: Республика Дагестан, г. Буйнакск, ул. Дахадаева, № 30 и Требований к градостроительным регламентам в границах данных зон"
(Зарегистрирован 08.07.2024 № 7163)
Номер опубликования: 0501202407120001
Дата опубликования: 12.07.2024
Страница №11 из 17:
Увеличить