Официальное опубликование правовых актов
ОФИЦИАЛЬНОЕ ОПУБЛИКОВАНИЕ
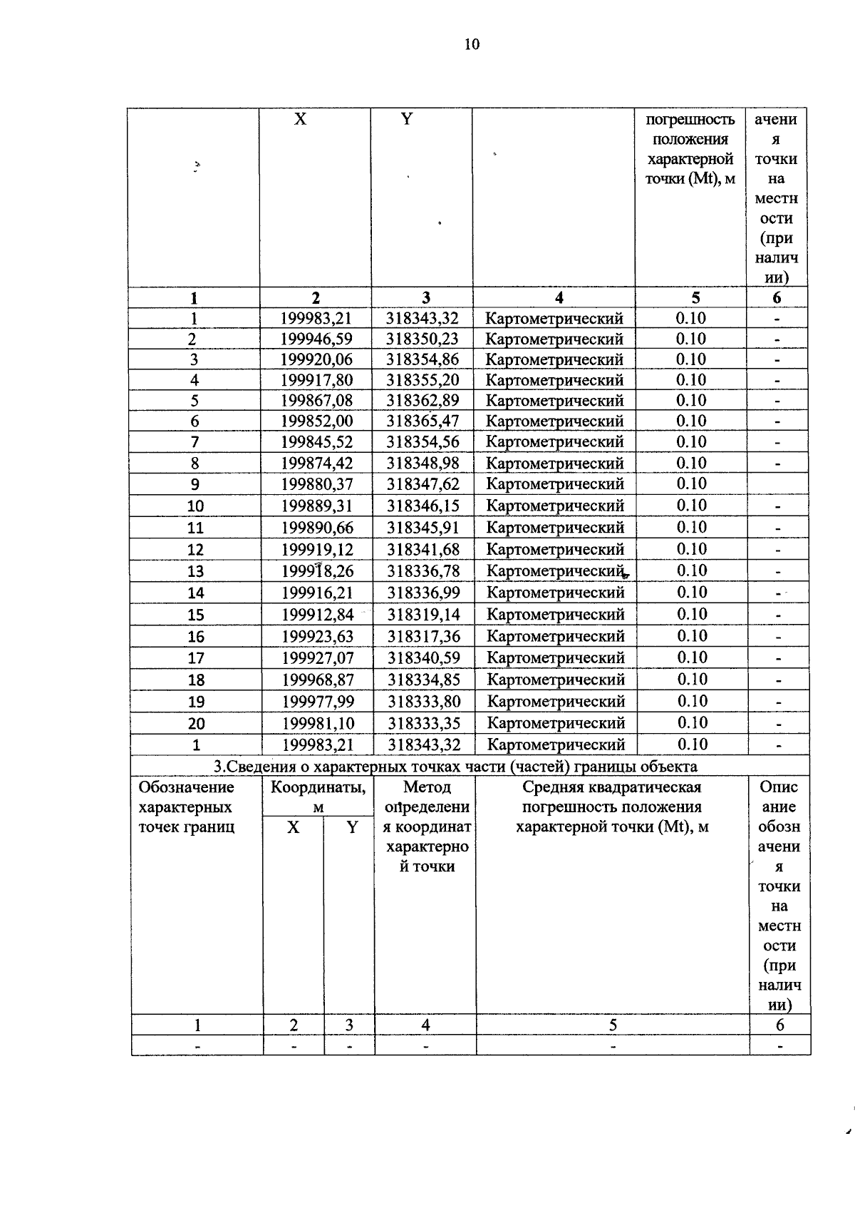
Приказ Агентства по охране культурного наследия Республики Дагестан от 18.06.2024 № 66/24-од
"Об утверждении границ зон охраны объекта культурного наследия регионального значения "Бывший жилой дом архитектора Темирханова", ХIХ в., расположенного по адресу: Республика Дагестан, г. Буйнакск, ул.Ш. Шихсаидова № 43 и Требований к градостроительным регламентам в границах данных зон"
(Зарегистрирован 05.07.2024 № 7162)
Номер опубликования: 0501202407090002
Дата опубликования: 09.07.2024
Страница №10 из 22:
Увеличить