Официальное опубликование правовых актов
ОФИЦИАЛЬНОЕ ОПУБЛИКОВАНИЕ
Приказ Министерства по земельным и имущественным отношениям Республики Дагестан от 25.08.2023 № 158
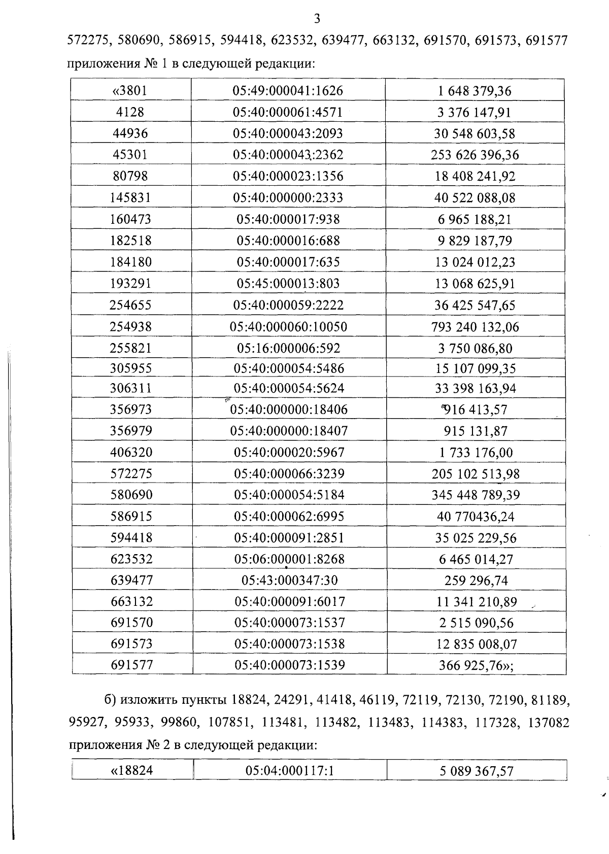
"О внесении изменений в приказ Министерства по земельным и имущественным отношениям Республики Дагестан от 27 ноября 2019 г. № 500 "Об утверждении результатов определения кадастровой стоимости объектов капитального строительства, земель сельскохозяйственного назначения, земель населенных пунктов на территории Республики Дагестан"
(Зарегистрирован 05.09.2023 № 6754)
Номер опубликования: 0501202309060001
Дата опубликования: 06.09.2023
Страница №3 из 5:
Увеличить