Официальное опубликование правовых актов
ОФИЦИАЛЬНОЕ ОПУБЛИКОВАНИЕ
Приказ Министерства по земельным и имущественным отношениям Республики Дагестан от 02.06.2023 № 97
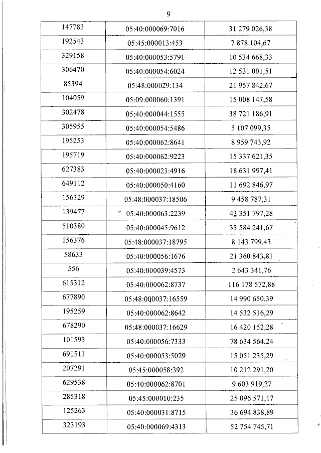
"О внесении изменений в приказ Министерства по земельным и имущественным отношениям Республики Дагестан от 27 ноября 2019 г. № 500 "Об утверждении результатов определения кадастровой стоимости объектов капитального строительства, земель сельскохозяйственного назначения, земель населенных пунктов на территории Республики Дагестан"
(Зарегистрирован 16.06.2023 № 6670)
Номер опубликования: 0501202306220003
Дата опубликования: 22.06.2023
Страница №9 из 11:
Увеличить