Официальное опубликование правовых актов
ОФИЦИАЛЬНОЕ ОПУБЛИКОВАНИЕ
Приказ Министерства по земельным и имущественным отношениям Республики Дагестан от 27.05.2022 № 76
"О внесении изменений в приказ Министерства по земельным и имущественным отношениям Республики Дагестан от 27 ноября 2019 г. № 500 "Об утверждении результатов определения кадастровой стоимости объектов капитального строительства, земель сельскохозяйственного назначения, земель населённых пунктов на территории Республики Дагестан"
(Зарегистрирован 24.06.2022 № 6068)
Номер опубликования: 0501202206240002
Дата опубликования: 24.06.2022
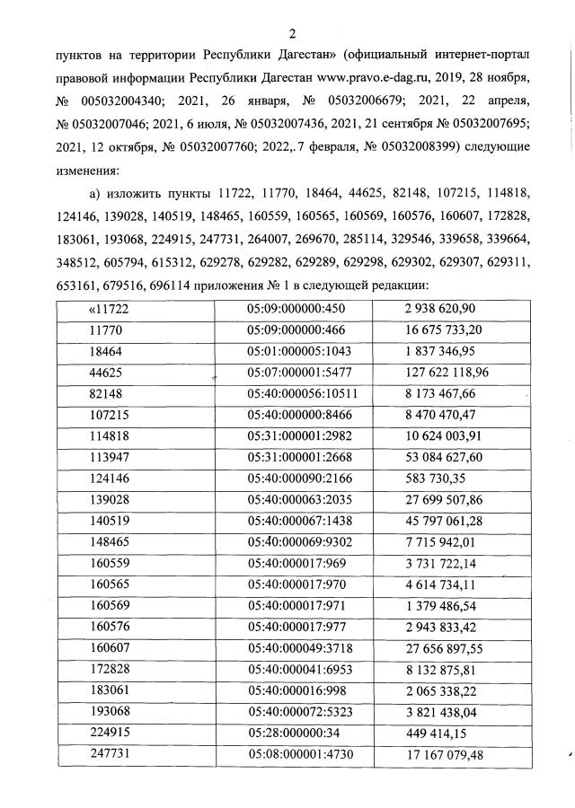
Страница №2 из 4:
Увеличить