Официальное опубликование правовых актов
ОФИЦИАЛЬНОЕ ОПУБЛИКОВАНИЕ
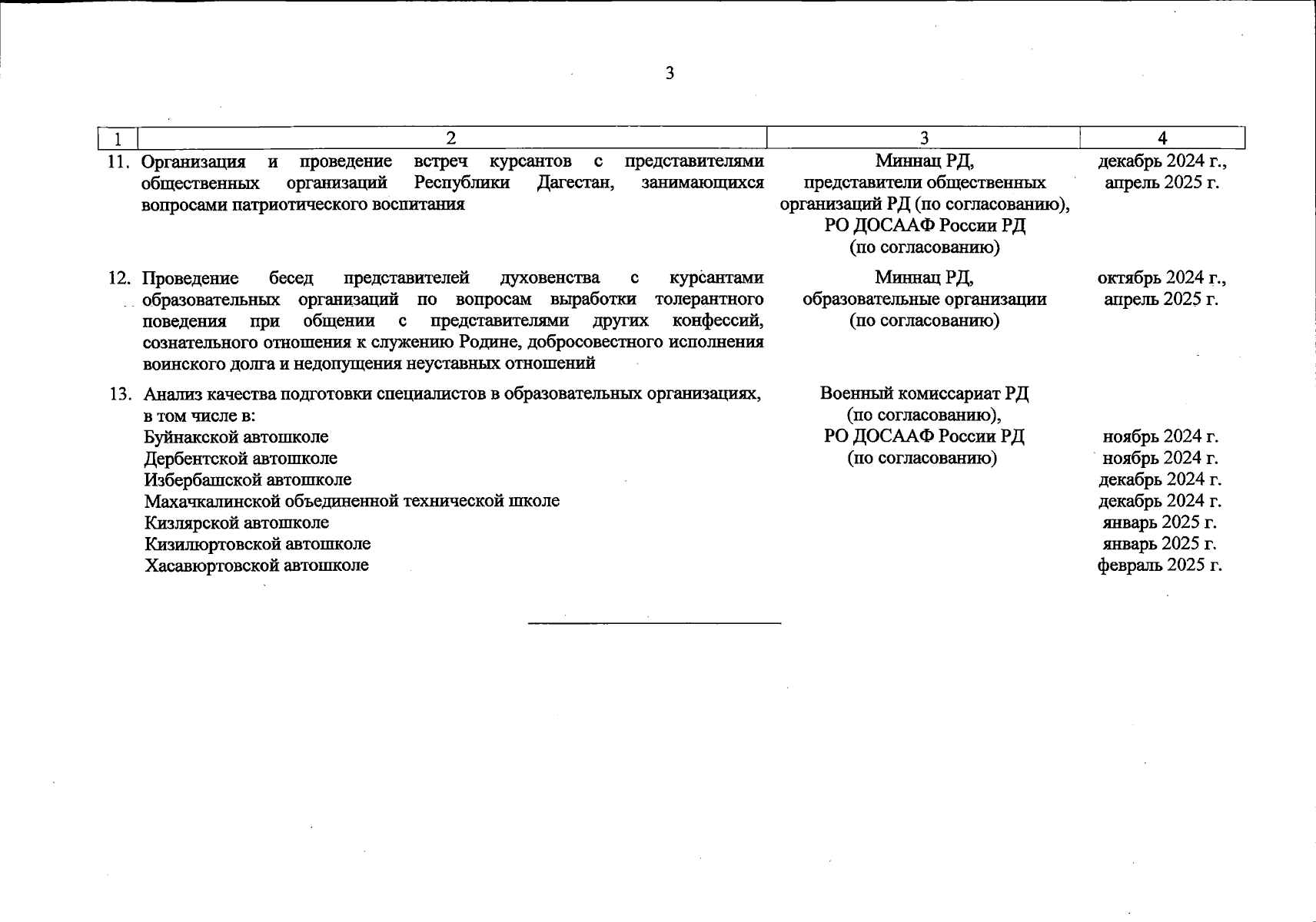
Постановление Правительства Республики Дагестан от 13.11.2024 № 361
"Об итогах подготовки граждан по военно-учетным специальностям для Вооруженных Сил Российской Федерации за 2023-2024 учебный год и мерах по улучшению этой работы в 2024-2025 учебном году"
Номер опубликования: 0500202411190016
Дата опубликования: 19.11.2024
Страница №6 из 9:
Увеличить