Официальное опубликование правовых актов
ОФИЦИАЛЬНОЕ ОПУБЛИКОВАНИЕ
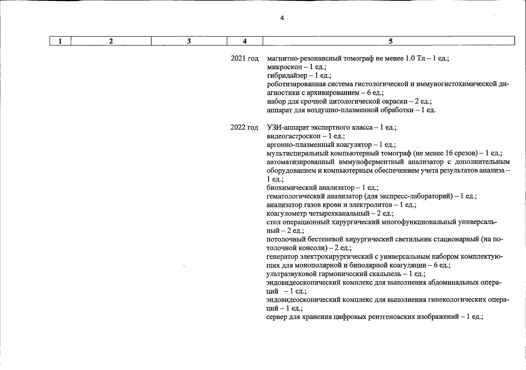
Постановление Правительства Республики Дагестан от 25.06.2024 № 181
"Об утверждении региональной программы "Борьба с онкологическими заболеваниями"
Номер опубликования: 0500202407010013
Дата опубликования: 01.07.2024
Страница №184 из 185:
Увеличить