Официальное опубликование правовых актов
ОФИЦИАЛЬНОЕ ОПУБЛИКОВАНИЕ
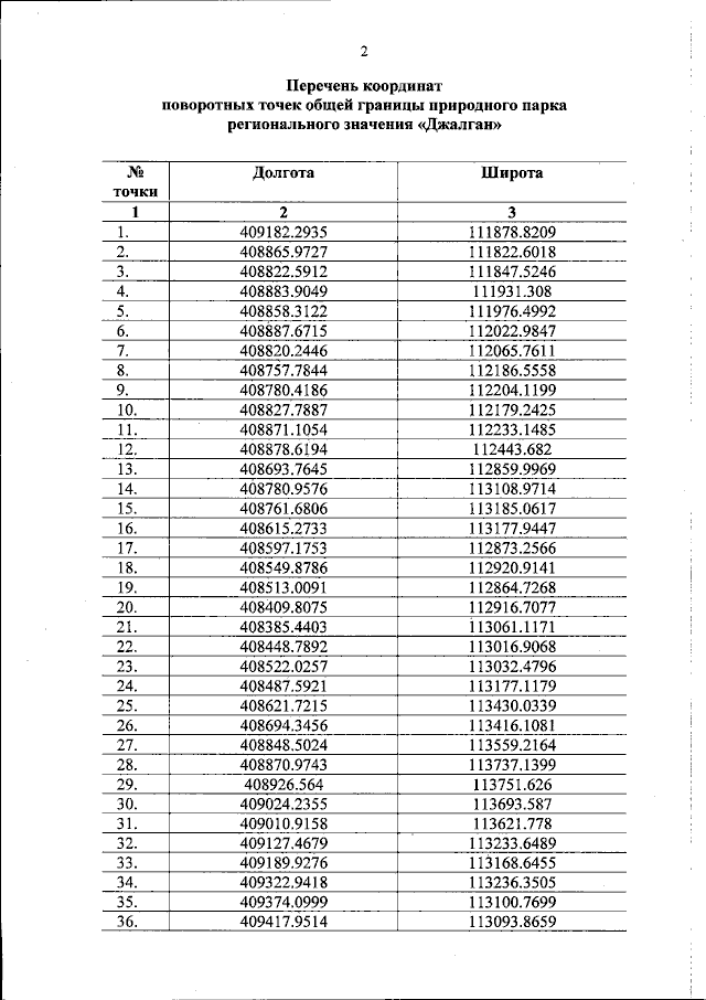
Постановление Правительства Республики Дагестан от 07.06.2023 № 222
"О внесении изменений в постановление Правительства Республики Дагестан от 20 декабря 2017 г. № 289"
Номер опубликования: 0500202306140001
Дата опубликования: 14.06.2023
Страница №5 из 9:
Увеличить