Официальное опубликование правовых актов
ОФИЦИАЛЬНОЕ ОПУБЛИКОВАНИЕ
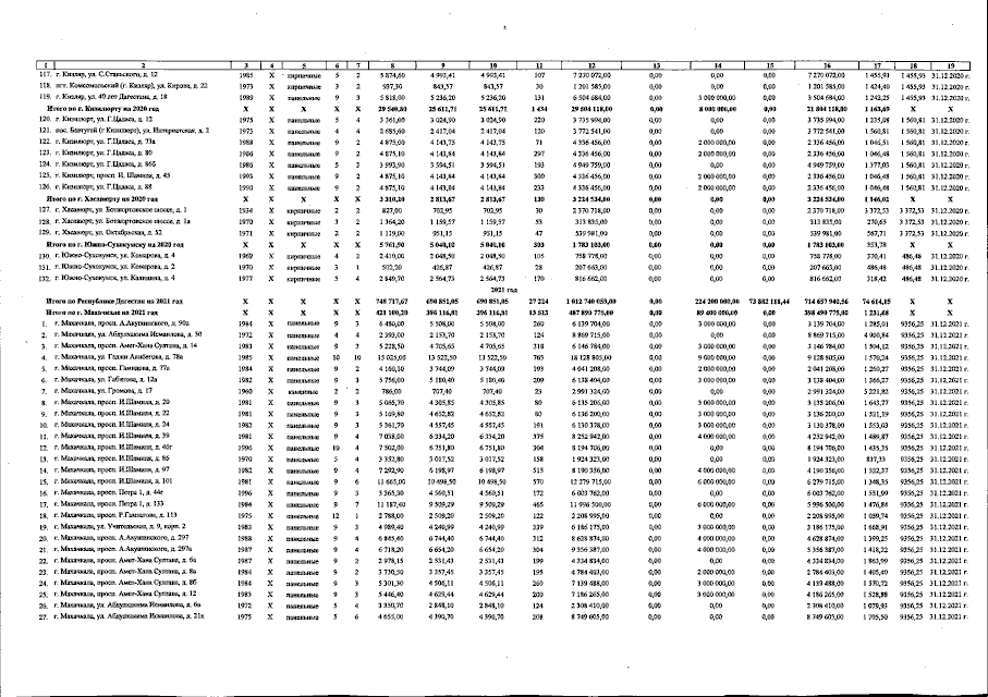
Постановление Правительства Республики Дагестан от 05.06.2023 № 209
"О внесении изменений в приложения № 1-3 к постановлению Правительства Республики Дагестан от 8 июня 2020 г. № 112"
Номер опубликования: 0500202306080008
Дата опубликования: 08.06.2023
Страница №6 из 23:
Увеличить